近日,理学院物理系计算物理团队陈小龙特聘副教授以“Nonlinear Hall response in the driving dynamics of ultracold atoms in optical lattices” 为题发表论文于美国物理学会期刊Physical Review A。(论文Phys. Rev. A 105, 063312 (2022),链接:
https://journals.aps.org/pra/abstract/10.1103/PhysRevA.105.063312)。
该工作得到了浙江理工大学科研启动基金、中国博士后基金等资助。物理系陈小龙特聘副教授为第一作者,中国科学技术大学郑炜研究员为通讯作者。

工作介绍:
霍尔效应,指当通电导体外加与电流方向垂直的磁场时,导体内电荷载子受到洛伦兹力而偏向一边,继而产生电压(霍尔电压)的现象。长久以来,霍尔效应在凝聚态物理学中扮演着非常重要的角色。从上世纪80年代至今,霍尔家族已经得到极大丰富,如从经典拓展到量子化版本,从整数化发展到分数化量子霍尔效应等等。实验中往往通过外加磁场或内禀磁性破坏系统的时间反演对称性,并测量外加电场的线性阶霍尔响应或电流。最近,哈佛大学Sodemann和Fu提出,在保留时间反演对称时,线性阶效应消失而非线性效应占据主导,并与贝里曲率偶极子(Berry Curvature Dipole) 有着紧密的联系[1]。最近几年,该非线性霍尔效应在凝聚态材料中得到广泛的关注和研究 [2]。
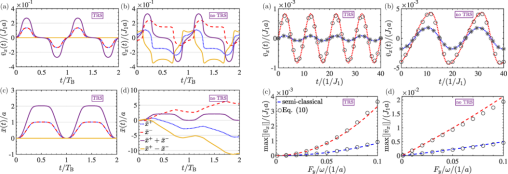
该工作提出,在保有时间反演对称的光学晶格中,我们可以借助于超冷原子的布洛赫振荡观测非线性霍尔响应[3]。当系统由直流‘电场’驱动时,非线性霍尔电流在布洛赫振荡的短时间极限下占据主导地位,表现为外部‘电场’场强的二阶响应(下图1)。而对应的驱动场的二阶非线性系数,即能定量地表征非线性霍尔响应强度的贝里曲率偶极子(Berry Curvature Dipole),可以从原子的振荡行为中直接提取出来。此外在考虑交流‘电场’驱动时,非线性霍尔响应则拥有外交流驱动场的双倍振荡频率,而贝里曲率偶极子可通过振荡幅度直接获得(下图2)。该工作为超冷原子光晶格实验中实现和观察新奇的非线性霍尔效应提供了理论指导和计算支持。
参考文献:
[1] I. Sodemann and L. Fu, Quantum Nonlinear Hall Effect Induced by Berry Curvature Dipole in Time-Reversal Invariant Materials, Phys. Rev. Lett. 115, 216806 (2015).
[2] Z. Z. Du, H.-Z. Lu, and X. C. Xie, Nonlinear Hall effects, Nat. Rev. Phys. 3, 744 (2021).
[3] X.-L. Chen and W. Zheng, Nonlinear Hall response in the driving dynamics of ultracold atoms in optical lattices, Phys. Rev. A 105, 063312 (2022).

Figure 1 Honeycomb lattice and short-time Hall current

Figure 2 Long-time Hall current behaviours in dc and ac cases