近日,理学院物理系计算物理团队陈小龙特聘副教授以“Superfluidity of a Raman spin-orbit-coupled Bose gas at finite temperature” 为题发表论文于美国物理学会期刊Physical Review A。(论文Phys. Rev. A 106, 023302 (2022),链接: https://journals.aps.org/pra/abstract/10.1103/PhysRevA.106.023302)。
该工作得到了浙江理工大学科研启动基金、中国博士后基金等资助。物理系陈小龙特聘副教授为第一作者和通讯作者,合作者为澳大利亚斯威本科技大学刘夏姬教授和胡辉教授。

工作介绍:
超流体是一种新奇的物质状态,特点是流动的液体中完全缺乏黏性并且流动不损耗动能。如果将超流体放置于环状容器中,由于没有摩擦力,它可以永无止尽地流动。超流体是在1937年由Kapitsa、Allen 和Misener同时在液氦(Helium-4)当中发现的。通过降低液氦温度至2.17K以下,他们发现了其中低粘滞等超流特性。现如今,液氦同位素以及超冷原子气体是观测和研究超流特性的常用物理系统,并且超流与冷原子气体中玻色-爱因斯坦凝聚(BEC)有着非常紧密的联系。当降低系统温度时,液氦中超流密度以及常规弱相互作用BEC中凝聚体密度都有着关于温度的单调递减行为,如图1。然而,我们发现,在自旋轨道耦合BEC中,超流密度却有着非比寻常的温度依赖关系。

Figure 1 液氦4超流密度 (左)和BEC凝聚体密度(右)随温度的变化行为。
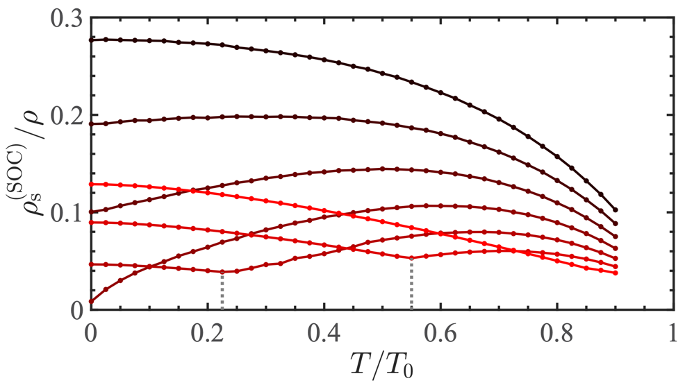
我们研究了具有拉曼型自旋轨道耦合的三维弱相互作用玻色气体在零温和有限温度下的超流特性。利用Bogoliubov近似下的虚时格林函数,我们推导出平面波相和零动量相中流-流响应函数的解析表达式,并在长波和零频极限下提取出超流密度。在零温度下,我们由此得到的超流密度与利用phase-twist方法和广义Josephson关系得到的结果完全一致。在非零温度下,我们发现平面波相和零动量相的相变点附近,超流体密度有着明显的非单调温度依赖性,如图2。这种不寻常的行为可借助声速、朗道临界速度来理解,其有着相似的温度依赖性。我们的结论将有助于进一步从理论和实验上研究自旋轨道耦合量子气体的超流特性。

Figure 2 自旋轨道耦合BEC中不同Rabi频率下超流密度关于温度的行为。