
近日,理学院物理系教师与合作者在国际著名物理期刊《Phys. Rev. Research》上发表了题为“Two atoms in a harmonic trap with spin-orbital-angular-momentum coupling”的学术论文。
物理系陈小龙特聘副教授、陈爱喜教授分别为论文第一、第二作者,中科院精密测量院彭世国副研究员为通讯作者,浙江理工大学为论文第一署名单位。该工作得到了国家自然科学基金和浙江理工大学启动基金等项目的支持。
工作简介:
过去的十几年中,利用拉曼激光操控原子超精细结构能级实现人工规范场,已经成为冷原子领域的重要进展和研究热点之一。例如,最近由台湾中央研究院的林育如博士实验组和中科院精密测量院江开军教授实验组在超冷87Rb原子中实现的自旋-轨道角动量耦合(SOAMC)。实验室中,两束同向传播但携带不同角动量的Laguerre-Gaussian光照射原子,通过转移角动量实现原子内态之间的耦合。之前的研究发现,具有SOAMC的冷原子气体存在着诸多新奇的物相并表现出丰富的物理特性,是当前冷原子物理中的研究热点。

Figure 1 自旋轨道角动量耦合实验方案
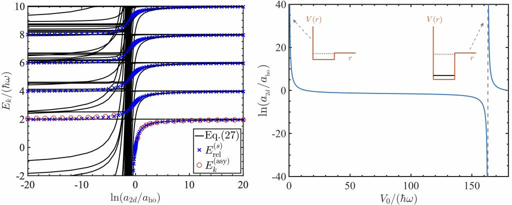
在此工作中,我们研究了谐振势中具有SOAMC的两个原子问题。我们推导了两体能谱的相关方程并采用精确对角化方法数值求解出对应能谱。我们分析了原子间相互作用和SOAMC的竞争关系,并因此理解能级简并是如何被提升和破坏的。在弱相互作用极限和无SOAMC情况下,数值计算结果与应用微扰理论得到的结果非常吻合。此外,还讨论了两个原子之间的关联函数随着相互作用强度变化的关系。我们的工作和发现可能为受SOAMC影响的少体物理以及多体系统中频谱函数(如射频谱)的实验探测提供有价值的见解和预言。

Figure 2两体能谱随散射长度变化在不同方法下的对比;二维s波散射长度随方势阱深度变化
论文信息:
Xiao-Long Chen, Aixi Chen, and Shi-Guo Peng*, Two atoms in a harmonic trap with spin-orbital-angular-momentum coupling, Phys. Rev. Research 6, 033200 (2024)
URL: https://doi.org/10.1103/PhysRevResearch.6.033200