近日,凝聚态物理领域国际知名期刊《Physical Review B》以Letter形式刊发了题为“s±-wave superconductivity in pressurized La4Ni3O10” 的学术论文。理学院物理学系计算物理团队青年教师张铭为论文第一作者,浙江理工大学为论文第一署名单位。该工作得到了浙江理工大学科研启动科学基金的支持。

工作简介:
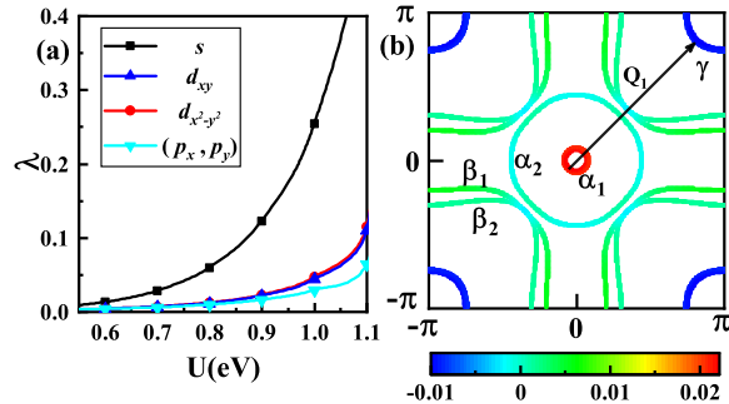
高温超导是凝聚态物理研究的的核心前沿课题之一。铜基氧化物是最受关注的高温超导材料,其中的3d9电子结构被认为在高温超导中起了决定性的作用。与铜基氧化物类似,镍氧化物也可以具有类似的3d9电子结构,因而受到极大的关注。此前的镍氧化物超导行为的研究主要集中于无限层的薄膜材料。最近,双层和三层RP相的镍酸盐Lan+1NinO3n+1(n = 2, 3)体材料被发现在高压下表现出非常规超导行为[Nature, 621,493–498 (2023); Nature, 631,531–536 (2024);Nature, 634, 579-584 (2024)]。本文中,我们研究了三层RP镍酸盐La4Ni3O10可能的配对机制和配对对称性。通过密度泛函理论拟合能带结构,我们提出了一个六轨道紧束缚模型。与La3Ni2O7的能带结构相比,La4Ni3O10具有额外的非成键dz2能带,对其配对机制具有重要影响。考虑多轨道哈伯德相互作用时,我们基于RPA的计算得到了s±波超导。费米曲面嵌套在(π, π)波矢处最为显著,该嵌套发生在成键态的dz2带顶贡献的γ口袋和非成键态的dz2带底贡献的α口袋之间,最终导致振幅最强的配对波分布在这两个费米口袋上,并具有符号相反的特征。实空间的计算表明配对发生在层间dz2轨道之间。该结果对能带细节不敏感。在电子掺杂后,Tc会迅速增加继而进入Neel序的自旋密度波阶段。


本工作的图文摘要
论文信息:
Ming Zhang, Hongyi Sun, Yu-Bo Liu, Qihang Liu, Wei-Qiang Chen, and Fan Yang. Phys. Rev. B, 110, L180501(2024).
DOI: https://doi.org/10.1103/PhysRevB.110.L180501