近日,理学院物理系能源材料&锂电池研究团队(EMLab)在固态聚合物电解质方面取得进展,在国际著名期刊《Nano Letters》上在线发表了题为“High-Entropy Polymer Electrolytes Derived from Multivalent Polymeric Ligands for Solid-State Lithium Metal Batteries with Accelerated Li+ Transport” 的学术论文。

物理系教师叶方敏博士、研究生王智兴和李梦成为共同第一作者,浙江理工大学物理系为论文第一署名单位。我系叶方敏博士、刘爱萍教授、韩国高等科技学院(KAIST)Hee-Tak Kim 教授及德国卡尔斯鲁厄理工学院王健博士(现为洪堡学者)为论文共同通讯作者。该工作得到了国家重点研发计划、国家自然科学基金面上及浙江理工大学科研启动基金等项目的支持。
工作简介:
传统液体锂离子电池面临比能密度不足和液体电解液易燃而出现的安全隐患等问题,基于锂金属为负极的固态电池因具有高安全性和高比能密度等优点得到了广泛的研究。为构建高比能密度固态锂金属电池,聚合物电解质作为被推崇的电解质成员之一(另有无机氧化物及硫化物电解质等)具有力学性能优异,与电极兼容性及高阻燃性备受青睐。但是传统的聚合物基(比如PEO基、PVDF基及PAN基)固态电解质的热稳定性差和离子电导率低,仍阻碍着聚合物固态电池的商业化进程。为了解决这些不足,三条主要途径如引进无机电解质导体、发展凝胶电解质及聚合物交联等被提出。但是要同时解决电池界面稳定性、电解质机械性能好及电导率高仍然面临巨大挑战。
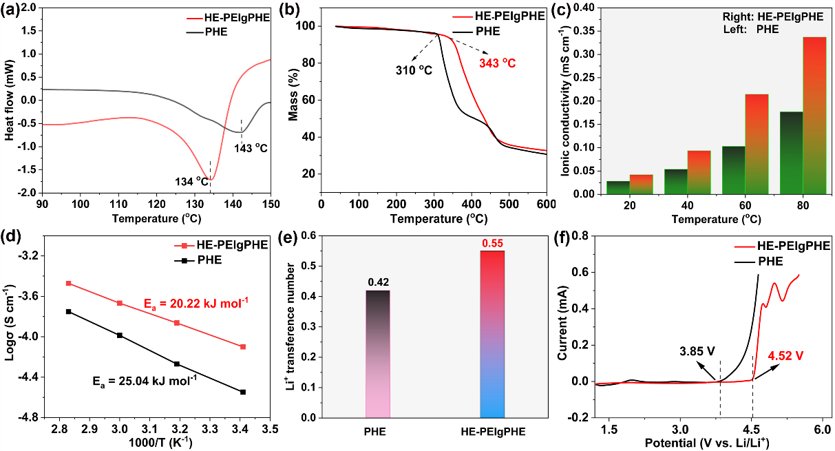
为了发展聚合物电解质,助推固态锂金属电池的发展,提出构建多组分体系的聚合物(混合或交联策略)是一条可行的策略。通过这种策略,可增加聚合物链的混乱度,减少锂离子跳跃式的传输,增加锂离子迁移数及离子电导率,同时交联亦可增强电解质膜的力学性能。但是多成分体系的设计面临成分的选择和溶剂的筛选等挑战。于此,我们团队提出了两种聚合物通过多维度点击反应的交联策略构建高熵电解质(图1),提高了聚合物分子链的无序度,降低了聚合物的结晶性(图2a),缩短了锂离子输运路径,改善了离子电导率和迁移数 (图2c,d和e)。另外,多维度交联改善了电解质膜的热稳定性(图2b)和电化学窗口(图2f)。由于聚合物膜物性的改善,由我们制备聚合物电解质膜构建的锂金属电池表现出优异的电化学稳定性和长循环寿命(300个循环,比容量保持率为98.7%)。
我们的研究结果表明,设计高熵的聚合物电解质是一条发展新一代高性能固态聚合物电解质和构建高比能高安全固态电池的的有效途经。

图1. 高熵聚合物电解质的设计、制备及点击反应表征

图2. 高熵聚合物电解质物理性质的表征
论文链接信息: https://pubs.acs.org/doi/epdf/10.1021/acs.nanolett.4c00154