
近日,理学院物理系计算物理团队在国际著名物理期刊《Phys. Rev. A》上发表了题为“Collective excitations in two-dimensional harmonically trapped quantum droplets”的学术论文。
物理学硕士生费翼凡和已毕业硕士生杜旭聪分别为论文第一、二作者,陈小龙特聘副教授和张云波教授为共同通讯作者,浙江理工大学为论文唯一署名单位。该工作得到了国家自然科学基金和浙江理工大学启动基金等项目的支持。
工作简介:
在弱相互作用的二分量玻色混合物体系中,由于存在平均场相互作用项和超越平均场项竞争机制,使得整个混合物能够在没有外势束缚下避免崩塌,进而形成稳定存在的新量子态,常被称为自束缚的量子液滴态。而在已有的自束缚量子液滴实验中,外势的影响不可或缺,因此我们重点考虑了束缚外势对二维弱相互作用量子液滴的静态与集体激发等性质的影响。
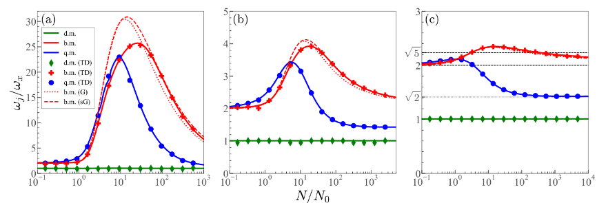
针对二维谐振势中的弱相互作用量子液滴,我们分别利用线性化技术、含时扩展Gross-Pitaevskii方程以及变分近似sum-rule方法,研究了不同系统参数下(包括外势强度,原子数和势阱各向异性等)此系统的基态性质和集体激发行为。我们发现,液滴的半径和化学势与液滴中原子数呈非单调关系,并且加强束缚势使得两者最小值移向理想气体极限。同时,外加束缚势会使得自束缚液滴中集体激发频率峰变得不那么明显而是表现更加地平滑,如下图所示。此外,sum-rule方法得到的breathing模式频率结果能够在强束缚势情形下适用,但在弱外势和中等原子数时与其他方法所得结果有所偏离。我们还发现,谐振势的各向异性将会消除各向同性势阱下出现的quadrupole和sissors模式之间的简并现象,从而导致两种模式振荡频率在任何程度的各向异性下都会立即偏离彼此。这些发现对量子液滴的独特特性和行为提供了有价值的见解,为未来关于量子液滴动态性质的研究和应用提供了潜在的指导。

Figure 1不同外势下的集体激发模式频率随粒子数的变化
论文信息:
Yifan Fei, Xucong Du, Xiao-Long Chen*, and Yunbo Zhang*, Collective excitations in two-dimensional harmonically trapped quantum droplets, Phys. Rev. A 109, 053309 (2024).
URL: https://doi.org/10.1103/PhysRevA.109.053309